NovaSeq Xシリーズのご購入
進化したケミストリー、光学、インフォマティクスを融合させ、卓越したシーケンシング速度とデータ品質、優れたスループットとスケーラビリティをお届けします。
単一アッセイで5塩基ゲノム(A、T、G、C、および5mC)を包括的に探索し、全ゲノムおよびメチロームの2つの洞察を提供します。
アッセイ時間
インプット量
期間限定キャンペーン:プロモーションコード ILMN5B25で最初のキットが25%割引
2026年5月まで:最初のライブラリー調製キットが25%割引になります。
数量限定:1
Illumina 5-Base DNA Prepは、ゲノム全体のゲノムバリアントとメチル化イベントを同時に探索します。使いやすく費用対効果の高いマルチオミクスアッセイにより、あらゆるシーケンスリードから最大限の洞察が得られます。
サンプルから結果まで3日未満で、ライブラリー調製は1日未満で完了します。5塩基のDRAGENパイプラインを使用して効率化された二次解析により、30倍のゲノムのデュアルリードアウトを1時間未満で実現します。
革新的な5mCからT塩基への変換と高度な解析アルゴリズムにより、DNA配列の複雑さを維持しながら高いアライメント率を実現します。
高い解像度と精度によりメチル化とゲノムバリアントの両方を同時に検出します。
| Assay time |
< 3 days DNA to data insights Library prep time* ~8 hr gDNA; ~6 hr cell-free DNA * Based on processing 24 samples manually; includes DNA shearing (if applicable), and library quantification. Normalization and pooling time not included. |
|---|---|
| 自動化機能 | Liquid handling robot(s) |
| Automation details | Automation protocols are in development and will be added to the automation page when available. |
| Description | One streamlined assay for comprehensive multiomic discovery of genomic variants and methylation events across the whole genome. High-quality data provides 5-base insights from the same sequencing reads, enabled by a novel enzymatic method and optimized analysis. |
| Input quantity |
1–20 ng cell-free DNA 50–100 ng genomic DNA |
| システム | NovaSeq X System, NovaSeq 6000Dx システム研究(RUO)モード, NovaSeq 6000 System, NovaSeq X Plus System |
| Mechanism of action | Enzymatic conversion of 5-methylcytosine to thymine, ligation-based addition of adapters and indexes, mechanical shearing of genomic DNA |
| 手法 | メチル化シーケンス, 全ゲノムシーケンス |
| マルチプレックス | 最大384プレックス |
| 核酸の種類 | DNA |
| 対応サンプルタイプ | 血中循環腫瘍DNA, 血液, 少量インプットサンプル, セルフリーDNA |
| 生物種カテゴリー | Any species, ヒト |
| Species details |
Illumina 5-base analysis software enables custom reference for analysis with species of interest. Users can upload custom reference genome to run Illumina 5-base assay/analysis. Not all species have been tested and specifications are only applicable to human samples. |
| Target insert size | 450 bp for gDNA |
| バリアントクラス | 体細胞バリアント, 差異的メチル化シトシン, 生殖細胞系列バリアント, 1塩基変異(SNV), 挿入 欠失(Indel), コピー数バリアント(CNV) |
Illumina 5-Base DNA Prepでは、DRAGEN二次解析を使用する必要があります。DRAGEN解析には、ローカルDRAGENサーバー、Illumina Connected AnalyticsまたはBaseSpace Sequence Hubクラウドを介してアクセスできます。Illumina Connected Multiomicsは、メチル化、クラスター、生物学的解釈の異なるデータの探索および視覚化に利用できます。インデックスアダプターはイルミナで別途販売しています。
Illumina 5-Base DNA Prepは、単一のコスト効率の高いアッセイで、DNAバリアントとメチル化イベントの両方の高解像度の全ゲノム検出を実現しながら、あらゆるシーケンスリードからのライブラリー調製の効率化、統合解析、デュアルオミクス洞察のカスタマイズを可能にします。
Illumina 5-Base DNA Prep
| 装置 | 推奨サンプル数 | リード長 |
|---|---|---|
| NovaSeq X System | フローセルあたりのサンプル数:10B:18、25B:48(500Mペアエンドリード、35倍カバレッジ) |
2 × 151 bp |
| NovaSeq 6000 System | フローセルあたりのサンプル数:S4: 18(500Mペアエンドリード、35倍カバレッジ) |
2 × 151 bp |
| NovaSeq 6000Dx システム研究(RUO)モード | フローセルあたりのサンプル数:S4: 18(500Mペアエンドリード、35倍カバレッジ) |
2 × 151 bp |
イルミナの5塩基ゲノムソリューションにより、1回のリードアウトで高精度ゲノムとメチロームの同時発見を実現します。
がんにおけるメチル化パターンやその他のエピジェネティックな変化を解析するための、次世代シーケンサーとマイクロアレイの利点を探る。
イルミナは、エピジェネティックな解析のためのソリューションを提供します。ツールを使用し、 エピジェネティックな修飾と遺伝子制御に対するその影響を研究します。
| Illumina 5-Base DNA Prep | Infinium MethylationEPIC v2.0 Kit | Illumina DNA Prep | Illumina DNA PCR-Free Prep | |
|---|---|---|---|---|
| Assay time |
< 3 days DNA to data insights Library prep time* ~8 hr gDNA; ~6 hr cell-free DNA * Based on processing 24 samples manually; includes DNA shearing (if applicable), and library quantification. Normalization and pooling time not included. |
~3-4時間 | ~1.5時間 | |
| 自動化機能 | Liquid handling robot(s) | 自動化アレイローダー | Liquid handling robot(s) | Liquid handling robot(s) |
| Automation details | Automation protocols are in development and will be added to the automation page when available. | 利用可能な自動化方法を見る | 利用可能な自動化方法を見る | |
| Description | One streamlined assay for comprehensive multiomic discovery of genomic variants and methylation events across the whole genome. High-quality data provides 5-base insights from the same sequencing reads, enabled by a novel enzymatic method and optimized analysis. | Infinium MethylationEPIC v2.0 BeadChipは、ゲノムワイドなメチル化スクリーニングツールであり、その機能コンテンツは強化され、専門家により選択されています。本キットはiScanまたはNextSeq 550システムで処理され、サンプルプーリングやインデックス作成を必要としない、シンプルで使いやすいワークフローに従います。 | さまざまなサンプルタイプとDNAインプット量に対応する迅速で柔軟なライブラリー調製ワークフローにより、ヒトから微生物の全ゲノムシーケンスまで、幅広いアプリケーションにアクセスできます。 | PCRフリーケミストリーとオンビーズタグメンテーションのユニークな組み合わせを使用して、高感度アプリケーション用のシーケンスライブラリーを調製します。これにより、PCRによるバイアスを排除すると同時に、ライブラリー調製の合計時間が90分に短縮されます。 |
| Input quantity |
1–20 ng cell-free DNA 50–100 ng genomic DNA |
250 ng DNA | 小さなゲノム(微生物など)の場合はDNA 1~500 ng、大きなゲノム(ヒトなど)の場合はDNA 100~500 ng。(血液および唾液については、リファレンスガイドを参照してください)。 | 25 ng 〜 300 ng |
| システム | NovaSeq X System, NovaSeq 6000Dx システム研究(RUO)モード, NovaSeq 6000 System, NovaSeq X Plus System | NextSeq 550 System, NextSeq 550Dx in Research Mode, iScan | MiSeq System, iSeq 100 System, NextSeq 550 System, NextSeq 2000 System, NextSeq 1000 System, MiSeqDx in Research Mode, MiniSeq System, NextSeq 550Dx in Research Mode, NovaSeq X System, NovaSeq 6000 System, NovaSeq X Plus System, MiSeq i100システム, MiSeq i100 Plusシステム | MiSeq System, NextSeq 550 System, NextSeq 2000 System, NextSeq 1000 System, MiSeqDx in Research Mode, NextSeq 550Dx in Research Mode, NovaSeq X System, NextSeq 500 System, NovaSeq 6000 System, NovaSeq X Plus System |
| Mechanism of action | Enzymatic conversion of 5-methylcytosine to thymine, ligation-based addition of adapters and indexes, mechanical shearing of genomic DNA | ビーズ結合トランスポソーム | ビーズ結合トランスポソーム | |
| 手法 | メチル化シーケンス, 全ゲノムシーケンス | メチル化アレイ | アンプリコンシーケンス, 全ゲノムシーケンス, de novoシーケンス, ショットガンシーケンス | 全ゲノムシーケンス, de novoシーケンス |
| マルチプレックス | 最大384プレックス | 最大384のユニークデュアル(UD)の組み合わせと96のコンビナトリアルデュアル(CD)の組み合わせ | 最大384プレックス | |
| 核酸の種類 | DNA | DNA | DNA | DNA |
| 対応サンプルタイプ | 血中循環腫瘍DNA, 血液, 少量インプットサンプル, セルフリーDNA | 血液, FFPE組織 | 血液, FFPE非対応, 唾液 | 血液, FFPE非対応, 少量インプットサンプル, 唾液, FFPE非対応 |
| 生物種カテゴリー | Any species, ヒト | ヒト | ショウジョウバエ, Any species, 哺乳類, マウス, 酵母, ゼブラフィッシュ, ヒト, ラット, 植物, ウイルス, 線形動物, 細菌 | Any species, ヒト |
| Species details |
Illumina 5-base analysis software enables custom reference for analysis with species of interest. Users can upload custom reference genome to run Illumina 5-base assay/analysis. Not all species have been tested and specifications are only applicable to human samples. |
任意の種に対応 | ||
| Target insert size | 450 bp for gDNA | ~ 350 bp | 450 bp +/- 75 bp | |
| バリアントクラス | 体細胞バリアント, 差異的メチル化シトシン, 生殖細胞系列バリアント, 1塩基変異(SNV), 挿入 欠失(Indel), コピー数バリアント(CNV) | 差異的メチル化シトシン | 1塩基変異多型(SNP), 融合遺伝子, ヘテロ接合性欠失(LOH), 体細胞バリアント, 染色体変異, 生殖細胞系列バリアント, 構造バリアント, 挿入 欠失(Indel), コピー数バリアント(CNV) | ショートタンデムリピート(STR), 1塩基変異多型(SNP), 体細胞バリアント, 染色体変異, 生殖細胞系列バリアント, 構造バリアント, 挿入 欠失(Indel), コピー数バリアント(CNV) |
ニーズに応じたシーケンスライブラリー調製キットまたはマイクロアレイを見つけてください。手法、生物種などでフィルタリングします。キットを比較、共有、注文します。
Illumina 5-Base DNA Prepによる卓越したシーケンス性能
Illumina 5-Base DNA Prepを使用して、(A) シトシン-グアニンジヌクレオチド(CpG)の高いカバレッジ、(B) 幅広いGC含量で均一なカバレッジを実現します。インプット量は、健康なドナーからのcfDNAが1~20ng、ヒトリファレンスサンプルNA12878からのgDNAが50~100ngです。
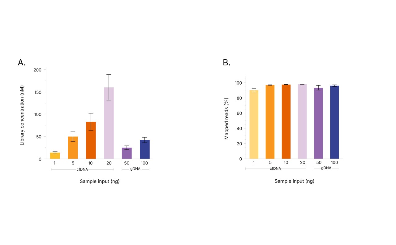
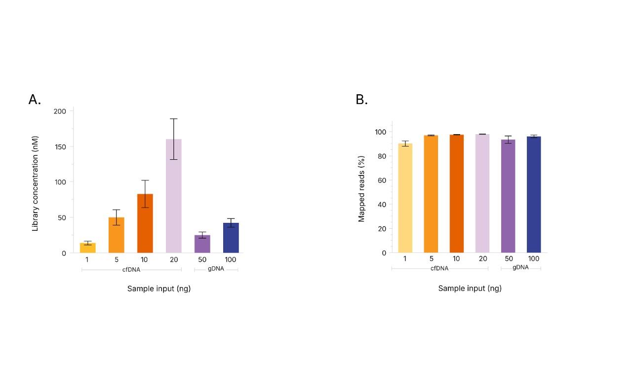
Illumina 5-Base DNA Prepを使用した高い収量とアライメント率
Illumina 5-Base DNA Prepを使用した健康なドナーからのcfDNAインプット1~20ngおよびヒトリファレンスサンプルNA12878からのgDNAインプット50~100ngに対する(A) ライブラリー収量および(B)アライメント率(マップリードの割合)。
Illumina 5-Base DNA Prepによるメチル化変換と検出
(A) すべてのCpGアイランド領域で再現性のあるメチル化検出。低分子ゲノムコントロール標準添加(B)メチル化pUCおよび(C)非メチル化ラムダで測定される高度選択的5mC変換。インプット量は、健康なドナーからのcfDNAで1~20ng、ヒトリファレンスサンプルNA12878からのgDNAで50~100ngです。
Illumina 5-Base DNA Prepによる高精度生殖細胞系列バリアントコーリング
Illumina 5-Base DNA Prepを使用したヒトリファレンスサンプルNA12878からのgDNAインプット50~100ngに対する(A)1塩基変異(SNV)および(B)挿入-欠失(Indel)生殖細胞系列バリアントコーリング。(C)Genome in A BottleのサンプルHG002からのバリアントサイズごとの生殖系列CNVコーリングの精度。
| 従来のメチル化シーケンス手法 | イルミナ5塩基ソリューション |
|---|---|
課題 |
利点 |
|
|
イルミナ5塩基ソリューションとともにDNAとメチル化を解読
イルミナの副社長兼アッセイ研究開発責任者のFiona Kaperが、革新的5塩基ソリューションによるマルチオミクス解析の簡素化と拡張について語ります。イルミナの5塩基ケミストリーが、1回のアッセイでゲノムとエピゲノムの2つの洞察を可能にし、いかに卓越した精度、簡素性、およびスケールで遺伝子バリアントとDNAメチル化のデータを提供するかをご覧ください。
メチル化プロファイリングと高精度の遺伝子バリアントコーリングを同時に行うための、効率化されたエンドツーエンドのNGSライブラリー調製および解析ワークフロー。
Illumina® 5-Base DNA Prep (24 Samples)
20140364
Includes library prep and methylation detection reagents for preparing 24 libraries manually. Analyze data on the cloud using DRAGEN apps on Illumina Connected Analytics or BaseSpace Sequence Hub or on-premise with DRAGEN Server. Perform data visualization using Illumina connected Multiomics (option). Purchase indexes separately.
List Price:
Discounts:
Illumina Unique Dual Indexes, LT (48 indexes, 48 samples)
20098166
Illumina Unique Dual Indexes, LT (48 indexes, 48 samples)
List Price:
Discounts:
Illumina® DNA/RNA UD Indexes Set A, Tagmentation (96 Indexes, 96 Samples)
20091654
Illumina® DNA/RNA UD Indexes Set A, Tagmentation (96 Indexes, 96 Samples)には、96サンプルのラベリングに十分な96、10 bpのインデックスが含まれます。ライブラリー調製試薬と濃縮試薬およびプローブパネルは別売りです。
List Price:
Discounts:
Illumina® DNA/RNA UD Indexes Set B, Tagmentation (96 Indexes, 96 Samples)
20091656
Illumina® DNA/RNA UD Indexes Set B, Tagmentation (96 Indexes, 96 Samples)には、96サンプルのラベリングに十分な96、10 bpのインデックスが含まれます。ライブラリー調製試薬と濃縮試薬およびプローブパネルは別売りです。
List Price:
Discounts:
Illumina® DNA/RNA UD Indexes Set C, Tagmentation (96 Indexes, 96 Samples)
20091658
Illumina® DNA/RNA UD Indexes Set C, Tagmentation (96 Indexes, 96 Samples)には、96サンプルのラベリングに十分な96、10 bpのインデックスが含まれます。ライブラリー調製試薬と濃縮試薬およびプローブパネルは別売りです。
List Price:
Discounts:
Illumina® DNA/RNA UD Indexes Set D, Tagmentation (96 Indexes, 96 Samples)
20091660
Illumina® DNA/RNA UD Indexes Set D, Tagmentation (96 Indexes, 96 Samples)には、96サンプルのラベリングに十分な96、10 bpのインデックスが含まれます。ライブラリー調製試薬と濃縮試薬およびプローブパネルは別売りです。
List Price:
Discounts:
表示されている結果 : /
製品名
数量
単価
製品名
カタログ番号
量
単価
Illumina 5-Base DNA Prepは、5mCをTに変換するワンステップの酵素プロセスを使用して、従来のバイサルファイト処理よりも高いヌクレオチド多様性をもたらします。この強化された多様性と、最適化されたライゲーションベースのライブラリー調製および専門的な解析手法を組み合わせることで、1回のアッセイで5mCとゲノムバリアントの両方を効果的に検出できます。
Illumina 5-Base DNA Prepは、シンプルでスケーラブルかつ安価な1回のワークフローで、包括的メチル化プロファイリングとバリアント検出が可能になるため、全ゲノム探索に最適です。
メチル化に焦点を絞ったアプリケーションでは、イルミナ5塩基ソリューションはマッピング効率が高く、ランあたりのCpGカバレッジが大きいため、標準的なメチル化アッセイよりも少ないシーケンスしか必要としません。
DRAGEN二次解析では、革新的な5塩基アルゴリズムを使用して、単一のデータセットからゲノムとメチロームの両方の正確なアノテーションを提供します。簡単なチェックボックスオプションで、DRAGEN Germlineおよび体細胞パイプライン内のメチル化レポート作成機能が有効になります。Illumina Connected Multiomicsは、DRAGEN二次解析から出力ファイルを直接インポートし、業界で実証された統計解析手法と視覚化ツールによって簡単なデータ探索とより深い洞察を可能にします。
当社の製品およびサービスに関する情報、または当社のテクノロジーに関するご質問がございましたら、ぜひお問い合わせください。
ご提供いただいた個人情報は、お客様へのサポート、サービス、および販売活動の目的にのみ使用させていただきます。